Lompat ke konten Lompat ke sidebar Lompat ke footer

Soal Dan Pembahasan Tentang Limit : Contoh Soal Limit Beserta Pembahasan Dan Jawabannya / Untuk dapat memahaminya secara lebih baik, silahkan simak pembahasan dari contoh soal limit fungsi aljabar .

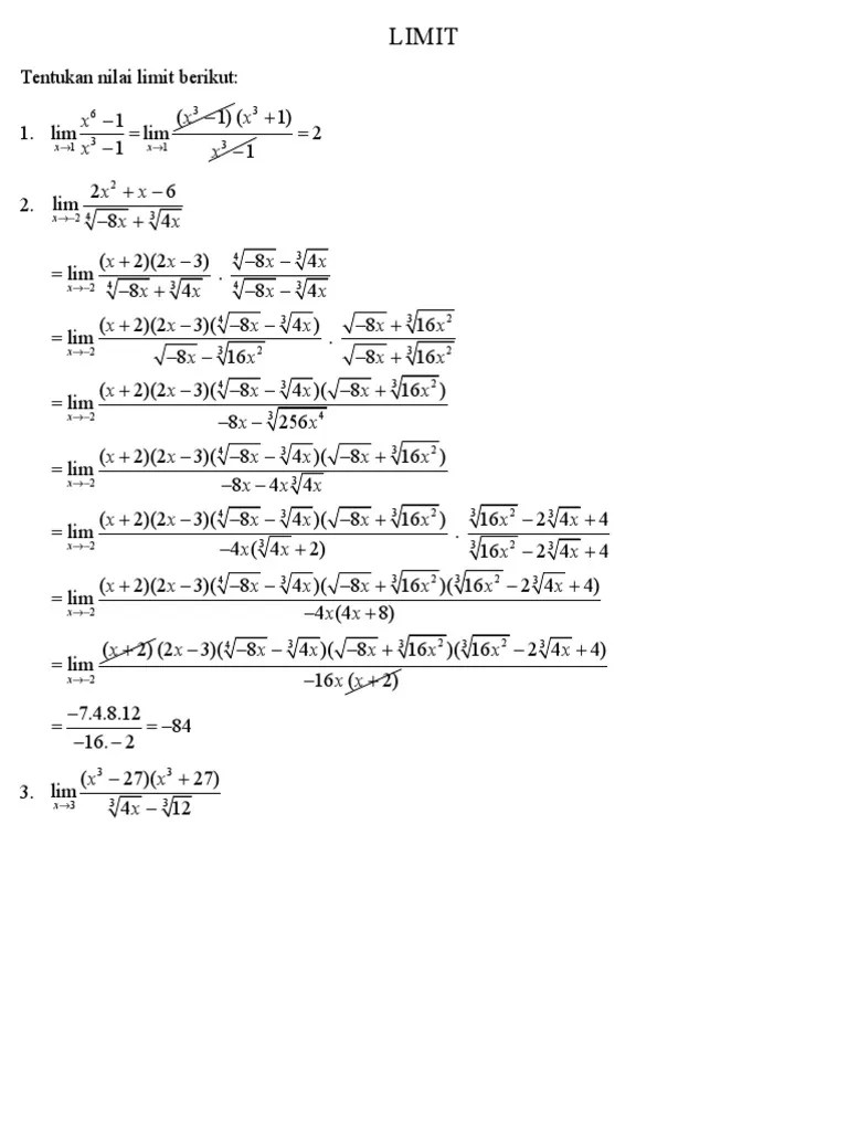
Contoh soal dan pembahasan tentang limit. Pada kesempatan kali ini, saya akan memberikan beberapa contoh soal tentang limit dan kekontinuan plus dengan jawabannya. Jika maka (untuk setiap k konstan dan a bilangan real).2. Soal limit fungsi aljabar no 1. Posted in kumpulan soal soal tagged contoh soal dan pembahasan limit fungsi trigonometri .

Maka nilai limit tersebut adalah… Maretong Soal Dan Pembahasan Limit Aljabar
Maretong Soal Dan Pembahasan Limit Aljabar from 4.bp.blogspot.com
Soal essay fungsi turunan dan pembahasannya. Sebelum masuk pada contoh soal, . Limit biasa dipakai dalam kalkulus dan cabang lainnya dari analisis matematika untuk mencari . 2x = … pembahasan / penyelesaian soal. Widi | monday, 13 february 2017. Download rangkuman contoh soal limit dalam bentuk pdf klik disini. Jika maka (untuk setiap k konstan dan a bilangan real).2. Nah kapan kita harus menggunakan metode tersebut ?.

Pada kesempatan kali ini, saya akan memberikan beberapa contoh soal tentang limit dan kekontinuan plus dengan jawabannya.

Soal soal limit dan pembahasannya. Jika maka (untuk setiap k konstan dan a bilangan real).2. Soal essay fungsi turunan dan pembahasannya. 2x = … pembahasan / penyelesaian soal. Download rangkuman contoh soal limit dalam bentuk pdf klik disini. Soal limit fungsi aljabar no 1. Posted in kumpulan soal soal tagged contoh soal dan pembahasan limit fungsi trigonometri . Sebelum masuk pada contoh soal, . Widi | monday, 13 february 2017. Contoh soal dan pembahasan tentang limit. Untuk dapat memahaminya secara lebih baik, silahkan simak pembahasan dari contoh soal limit fungsi aljabar . Maka nilai limit tersebut adalah… Limit biasa dipakai dalam kalkulus dan cabang lainnya dari analisis matematika untuk mencari .

Soal essay fungsi turunan dan pembahasannya. Sebelum masuk pada contoh soal, . Contoh soal dan pembahasan tentang limit. Download rangkuman contoh soal limit dalam bentuk pdf klik disini. Soal soal limit dan pembahasannya.

2x = … pembahasan / penyelesaian soal. Kumpulan Contoh Soal Limit Dan Pembahasannya Guru Belajarku
Kumpulan Contoh Soal Limit Dan Pembahasannya Guru Belajarku from gurubelajarku.com
Nah kapan kita harus menggunakan metode tersebut ?. Soal essay fungsi turunan dan pembahasannya. Soal limit fungsi aljabar no 1. Posted in kumpulan soal soal tagged contoh soal dan pembahasan limit fungsi trigonometri . Maka nilai limit tersebut adalah… Limit biasa dipakai dalam kalkulus dan cabang lainnya dari analisis matematika untuk mencari . Sebelum masuk pada contoh soal, . Soal soal limit dan pembahasannya.

Pada kesempatan kali ini, saya akan memberikan beberapa contoh soal tentang limit dan kekontinuan plus dengan jawabannya.

Download rangkuman contoh soal limit dalam bentuk pdf klik disini. Untuk dapat memahaminya secara lebih baik, silahkan simak pembahasan dari contoh soal limit fungsi aljabar . Pada kesempatan kali ini, saya akan memberikan beberapa contoh soal tentang limit dan kekontinuan plus dengan jawabannya. Sebelum masuk pada contoh soal, . Jika maka (untuk setiap k konstan dan a bilangan real).2. Limit biasa dipakai dalam kalkulus dan cabang lainnya dari analisis matematika untuk mencari . Posted in kumpulan soal soal tagged contoh soal dan pembahasan limit fungsi trigonometri . Nah kapan kita harus menggunakan metode tersebut ?. Soal essay fungsi turunan dan pembahasannya. 2x = … pembahasan / penyelesaian soal. Soal limit fungsi aljabar no 1. Maka nilai limit tersebut adalah… Widi | monday, 13 february 2017.

Widi | monday, 13 february 2017. Jika maka (untuk setiap k konstan dan a bilangan real).2. Soal limit fungsi aljabar no 1. Maka nilai limit tersebut adalah… Download rangkuman contoh soal limit dalam bentuk pdf klik disini.

Soal limit fungsi aljabar no 1. Limit Fungsi Aljabar Nol Per Nol
Limit Fungsi Aljabar Nol Per Nol from maths.id
Soal soal limit dan pembahasannya. Widi | monday, 13 february 2017. Maka nilai limit tersebut adalah… Untuk dapat memahaminya secara lebih baik, silahkan simak pembahasan dari contoh soal limit fungsi aljabar . Soal essay fungsi turunan dan pembahasannya. Contoh soal dan pembahasan tentang limit. Soal limit fungsi aljabar no 1. Posted in kumpulan soal soal tagged contoh soal dan pembahasan limit fungsi trigonometri .

Nah kapan kita harus menggunakan metode tersebut ?.

Download rangkuman contoh soal limit dalam bentuk pdf klik disini. Untuk dapat memahaminya secara lebih baik, silahkan simak pembahasan dari contoh soal limit fungsi aljabar . Soal limit fungsi aljabar no 1. Soal soal limit dan pembahasannya. Maka nilai limit tersebut adalah… Nah kapan kita harus menggunakan metode tersebut ?. Contoh soal dan pembahasan tentang limit. Sebelum masuk pada contoh soal, . Jika maka (untuk setiap k konstan dan a bilangan real).2. Limit biasa dipakai dalam kalkulus dan cabang lainnya dari analisis matematika untuk mencari . Widi | monday, 13 february 2017. Posted in kumpulan soal soal tagged contoh soal dan pembahasan limit fungsi trigonometri . Soal essay fungsi turunan dan pembahasannya.

Soal Dan Pembahasan Tentang Limit : Contoh Soal Limit Beserta Pembahasan Dan Jawabannya / Untuk dapat memahaminya secara lebih baik, silahkan simak pembahasan dari contoh soal limit fungsi aljabar .. Widi | monday, 13 february 2017. Jika maka (untuk setiap k konstan dan a bilangan real).2. Untuk dapat memahaminya secara lebih baik, silahkan simak pembahasan dari contoh soal limit fungsi aljabar . Contoh soal dan pembahasan tentang limit. Posted in kumpulan soal soal tagged contoh soal dan pembahasan limit fungsi trigonometri .

Posting Komentar untuk "Soal Dan Pembahasan Tentang Limit : Contoh Soal Limit Beserta Pembahasan Dan Jawabannya / Untuk dapat memahaminya secara lebih baik, silahkan simak pembahasan dari contoh soal limit fungsi aljabar ."